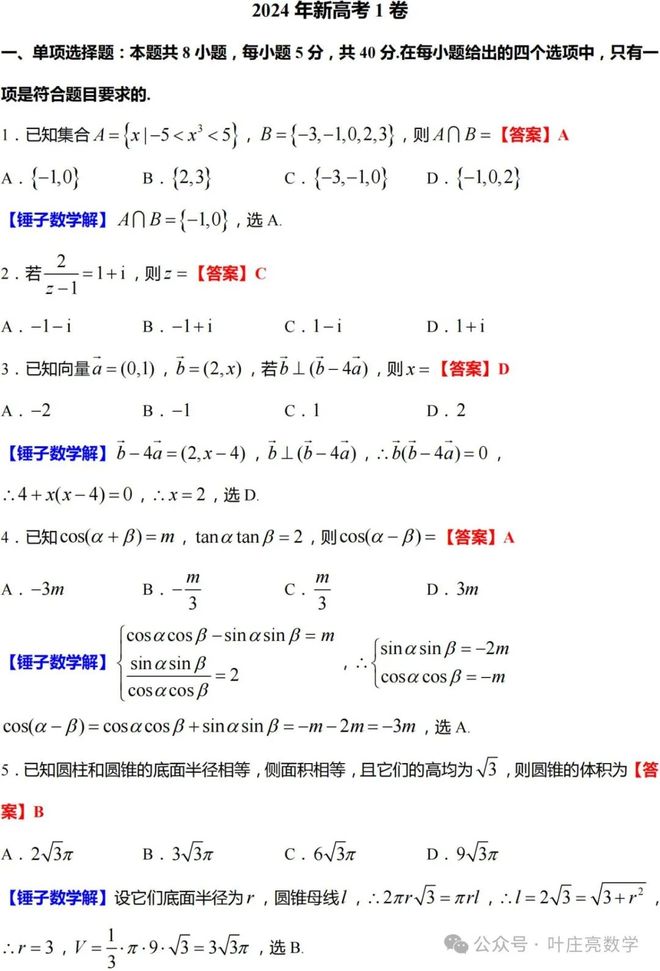
本年度高考数学试卷终于得以呈现,其受到的关注程度相较于以前处于历年最高水平。整体在难易程度方面较为平稳,然而具有压轴性质的题目仍然对解题者造成阻碍,能够解答出最后一道题目的考生数量极其稀少,这一情况和考试之前所做的预估基本上是相契合的。
全卷难度分布与预估一致
此次全卷整体的难度,跟2023年总体基本上是持平的,前面多数题目考生是都能着手去做的,但压轴题的设置将足够的区分度保持住了,特别是最后一道题,难度是比较大的,综合性也很强呈现出来较高水准,而这样的难度分布情况早在6月6日的预估内就已经清晰明确地指出来了,这充分说明命题思路具备延续性以及可预测性。
这里需要特别指出的是,此试卷的题型分布和江苏以往的老高考是极为相似的形式。数列是以新定义压轴题的形式呈现出来的,导数多参数问题则被放置在倒数第二题的位置上。这样的一种布局会让人联想起江苏卷往昔的经典结构模样,好多老师觉得选拔人才运用老高考那一套才是有效的办法。
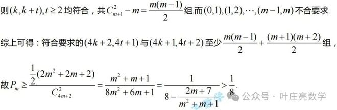
数列为何能成为压轴载体
数列实际上就是区分人员才能优劣的最为理想的载体,原因是它能够跟任何数学模块相互结合。此次考查的第19题把数列与集合论、不等方面的知识进行了具备条理化的衔接组合,用以检验学生的代数变形本领以及逻辑推理本事。题目构造既单纯干练然而解决起来它却要在多个方位进行转换以及梳理才能取得胜利的回答。
有这道题,它存在三个小问,其梯度作出了合理的设置,使得不同层次的学生都能够获取相应的分数。不过呢,要达成这最后一问,的确是需要具备扎实的数学功底以及对集合论具备基本的了解的。命题组明显是这样认为的,数列这种经典的数学对象是最能够检验学生的综合素养的。
抽象函数题型的教学盲区
第8题考的是抽象函数不等式呢,这种问题每年都会考,去年考的是等式,今年考的是不等式,不过解题方法实际上是一样的。抽象函数可是用来考查学生函数性质最为深刻且有力的东西,还是避免撞上常见题型、增强考试公平程度的唯一选择哟。
可是在教学期间,老师们察觉到,这好像始终是学生的知识空白区域。平常大家全都惯于钻研具体的函数,对于抽象函数的性质证明以及探索办法并没有给予足够的重视。在考试之前,我们再三着重强调要像对自己家里的珍宝那般熟悉地掌握这些方法,然而在实际的考场上,依旧有着不少学生在这个地方遭遇阻碍。
新定义曲线与解析几何亮点
第11道题目所考查的是新定义曲线,这样的题型在前年不会出现,而在去年是不用考的,可是今年却考了,要是今年不考的话,那么明年必定是躲不过去的。在前一段时间,《临门一脚》当中的第1题以及考前指导里的第11题,和本题是很相仿的,其方法没有其他不同的。学生平常所接触到的都是常见的四大曲线,然而这次却是需要灵活地进行变通来研究方法的。
在填空题部分,第12题涉及到的双曲线焦半径虽说能够被快速解答处理,但众多学生却没办法迅速地写出或者将其推导得出。其中,解析几何的小题里,焦半径所占的比例达到一半,这道题具有多种方法途径,入口特别宽广,然而不同的解答选择在计算以及所耗费的时间上面有着显著的差距,具备很好的区分鉴定性能。第13题所涉及的切线类问题同样是每年必定会被考查的。
导数与立体几何的实战表现
把第 18 题导数放置于理应放置的地方,它归属于多参数问题范畴。针对这类题目,首先得看清其结构,接着要理清其中逻辑,要是平常已然掌握了多参数问题以及逻辑类导数的处理策略,那还是能够做到最后的。然而鉴于大家平常训练较少、接触也少,所以这道题还是产生了较大区分度。
在考场上,第17题的立体几何,让好些同学都被卡住了。事实上,这道题的入口是很宽泛的,综合法能够做,坐标法同样能够做。考后进行复盘的时候发现,那些被卡住的学生,常常是平日里只练习一种方法,当碰到需要灵活去选择方法的情况时,就慌乱得不知所措了。这其实也警示我们,在备考的时候要做到全面。
试卷的育人导向与选拔功能
全卷将立德树人这一根本任务予以落实,凸显数学学科自身特点,第9题以实际生产当作背景,运用统计知识去解决实际问题,展现出数学具备的应用价值,对激发学生学习兴趣有益,第11题要求学生灵活地变通研究方法,进而培养创新思维。
第19题重视基于数学素养的关键能力考查,18题同样重视该种考查,在数学知识层面有体现,在数学能力层面有体现,于创新思维层面也有体现,具有较好的选拔功能。整套试卷,既考查基础,又突出能力,既保持稳定,又有创新,确实是一份高质量的高考数学卷。
你认为,如此这般的数列压轴题,对于往后的高中数学教学,会带去什么样的改变呢?欢迎于评论区,分享你的观点,点赞并予以转发,致使更多人能够看见这份深入的解析。

























